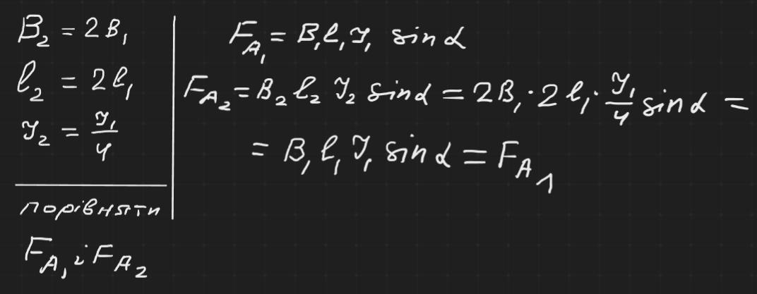
Як і у скільки разів зміниться сила Ампера, що діє на провідник зі струмом у магнітному полі, якщо індукцію магнітного поля і довжину провідника збільшити у 2 рази, а силу струму зменшити у 4 рази?
Допоможіть будь ласка
Ответы
Ответ дал:
2
Відповідь: Не зміниться
Пояснення:
Приложения:

duong39:
дякую)))А то я не знала,чи правильно зробила
Вас заинтересует
2 года назад
2 года назад
2 года назад
2 года назад
7 лет назад
7 лет назад
9 лет назад