• Предмет: Математика
  • Автор: ixnaplena
  • Вопрос задан 3 года назад

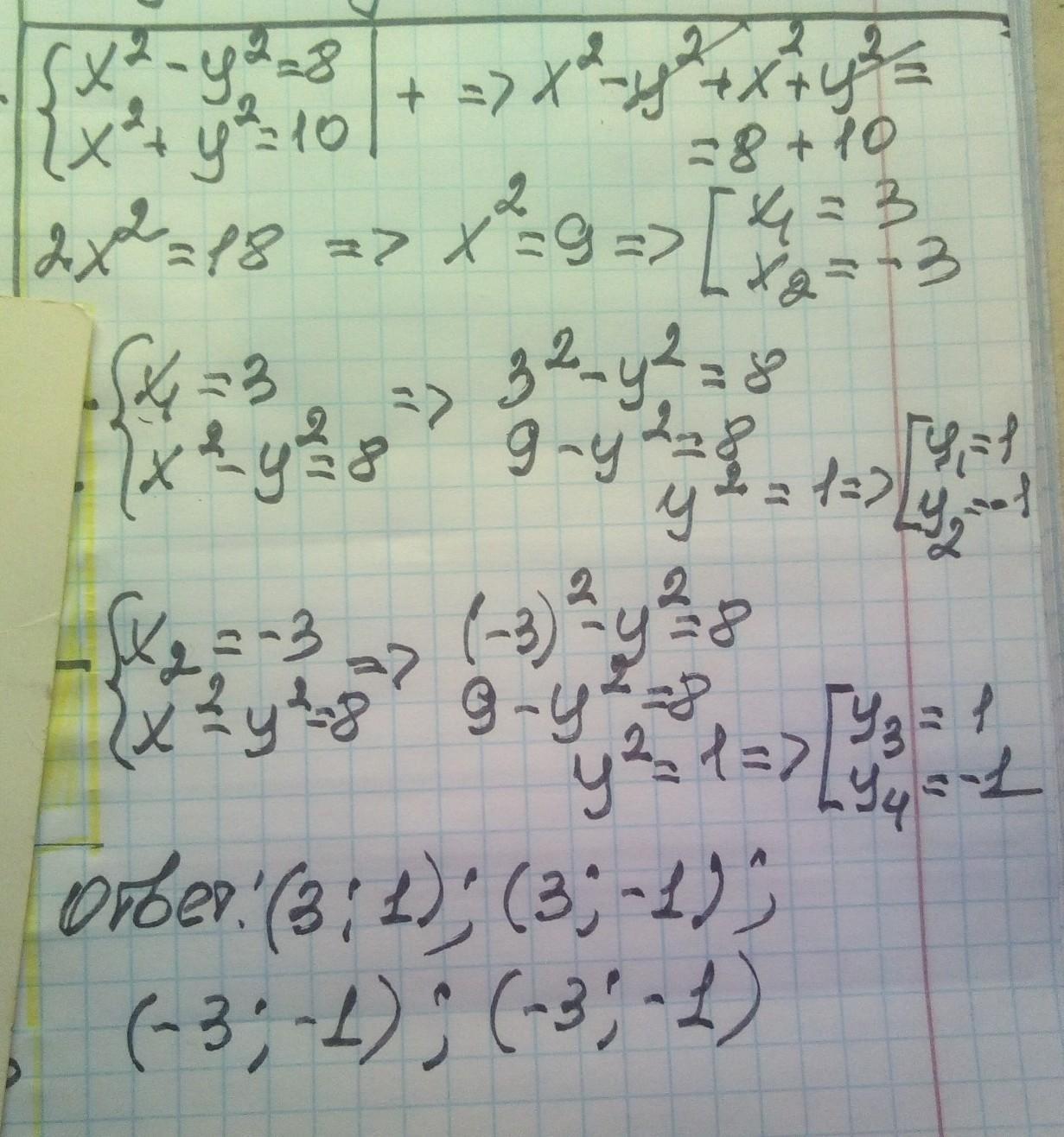
[x² - y² = 8, [x² + y² = 10; ​

Ответы

Ответ дал: manyny06
2

Ответ:

решение смотри на фотографии

Приложения:

ixnaplena: Оо спасибо большое ♡
Вас заинтересует
2 года назад