• Предмет: Алгебра
  • Автор: fonitop1
  • Вопрос задан 3 года назад

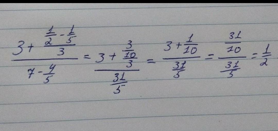
0.11. Вычислите: 5 1 + 8 6 7 1 + 8 12 2 3 4 1) 3 2) 5+ 4 2- 1 3 3) 3+ 1 1 25 3 4 5 7- 4) 2+ 3 1 2 2-1-​

Приложения:

Ответы

Ответ дал: Kenpati
1

(не мой скрин)

Остальные мне лень ответить

Приложения:

kiasovadiana1: остальные пж
Kenpati: посмотри просто видео про дробь как их складывать
Вас заинтересует