• Предмет: Алгебра
  • Автор: Kirofeed
  • Вопрос задан 3 года назад

Помогите решить интересное задание

Приложения:

antonovm: - 1 , не очень интересное

Ответы

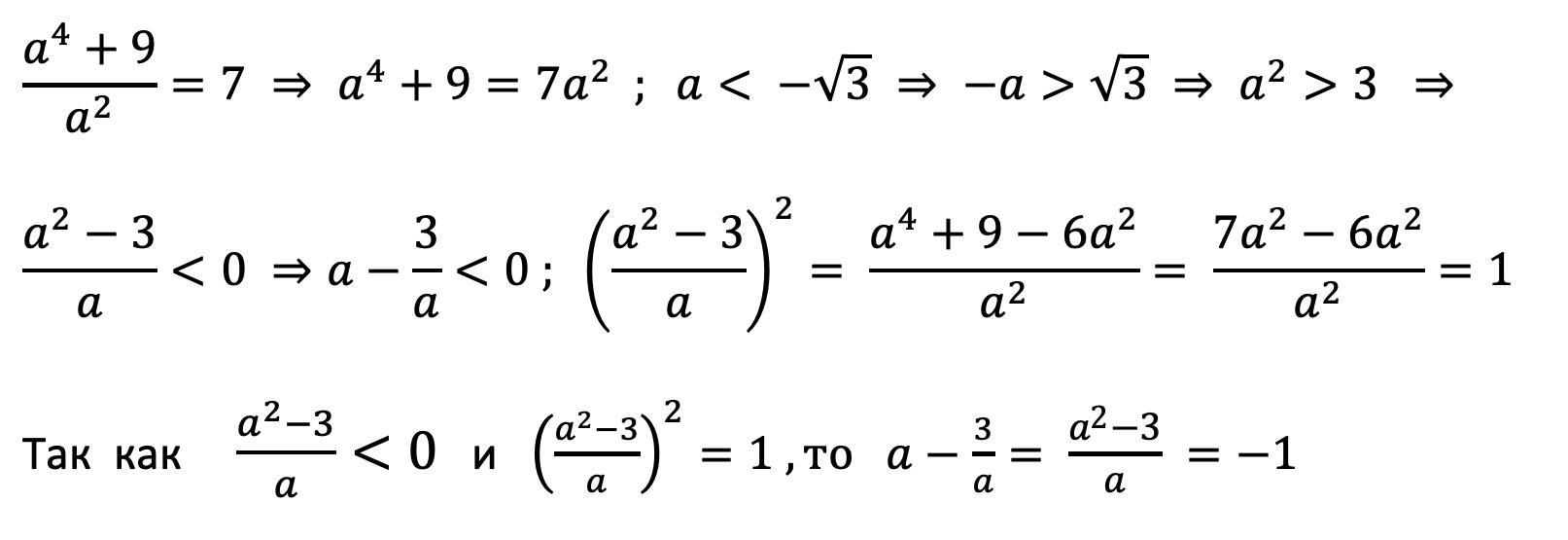
Ответ дал: antonovm
1

Ответ:

- 1  ..............................................

Объяснение:

Приложения:

BMW52: Почему возводится в квадрат неравенство у которого одна часть неизвестного знака?
antonovm: очень даже известного , если a меньше - корня из 3 , то - а положительно !
BMW52: Да, верно.
kimkarina953: Добрый вечер. Не могли бы мне помочь с геометрией пожалуйста умоляюю
Вас заинтересует