• Предмет: Математика
  • Автор: anna99086
  • Вопрос задан 3 года назад

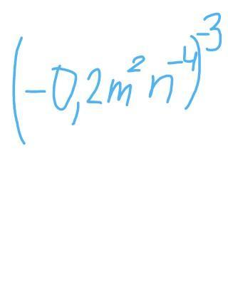
ДОПОМОЖІТЬ БУДЬ ЛАСКА СРОЧНО Подайте степінь у вигляді добутку (0, 2m ^ 2 * n ^ - 4) ^ - 3​

Приложения:

Ответы

Ответ дал: manyny06
1

Ответ:

решение смотри на фотографии

Приложения:
Вас заинтересует