Ответы
Ответ дал:
2
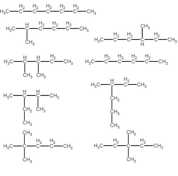
Надеюсь все понятно!
Приложения:

kimkarina953:
Добрый вечер. Не могли бы помочь с химией, пожалуйста
Вас заинтересует
2 года назад
2 года назад
2 года назад
2 года назад
7 лет назад
9 лет назад