• Предмет: Математика
  • Автор: Kjvfdukjbcdf
  • Вопрос задан 3 года назад

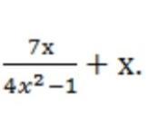
знайдіть допустимі значення змінної у виразі
​(Фото)

Приложения:

Ответы

Ответ дал: yevheniiavz
1

4x² - 1 ≠ 0

4x² ≠ 1

x² ≠ 1/4

x ≠ ± 1/2

x ≠ ± 0,5.

Допустимі всі значення змінної, крім: 0,5 і -0,5.

Вас заинтересует