• Предмет: Алгебра
  • Автор: lyjsn
  • Вопрос задан 3 года назад

помогите пожалуйста!

Приложения:

Ответы

Ответ дал: MrSolution
0

Ответ:

(см. объяснение)

Объяснение:

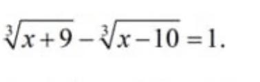
 \sqrt[3]{x + 9}  -  \sqrt[3]{x - 10}  = 1

Введем замену:

u =  \sqrt[3]{x + 9}  \\  v = \sqrt[3]{x - 10}

Тогда верно, что:

u {}^{3}  -  v{}^{3}  = (u - v)( {u}^{2}  + uv +  {v}^{2} ) = 19

Но из исходного уравнения:

u - v = 1 \\ u = v + 1

Тогда получим, что:

 {u}^{2}  + uv +  {v}^{2}  = 19 \\  {(v + 1)}^{2}  + (v + 1)v +  {v}^{2}  = 19 \\  {v}^{2} + v - 6 = 0

Откуда очевидно, что v=-3 или v=2.

При v=-3:

 \sqrt[3]{x - 10}  =  - 3 \\ x =  - 17

При v=2:

 \sqrt[3]{x - 10}  = 2 \\ x = 18

Итого x=-17 и x=18 есть корни исходного уравнения.

Уранение решено!

Вас заинтересует