• Предмет: Алгебра
  • Автор: maksimatigor
  • Вопрос задан 3 года назад

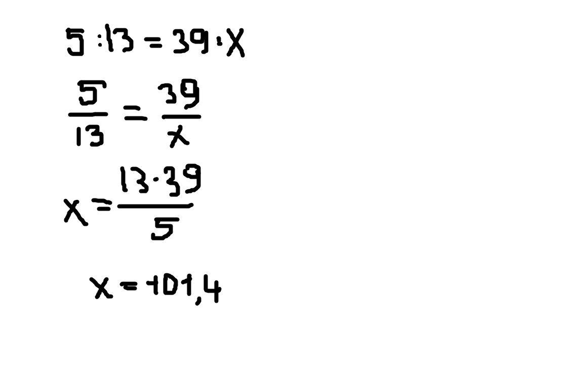
2. Знайти невідомий член пропорції 5:13 = 39 :Х


Hellllllllllllll: Якщо я відповім на твоє запитання, ти поставиш, будь ласка, мені найкращу відповідь(за це зможеш отримати додаткові бали)?
maksimatigor: я б поставив та я хз як це зробити

Ответы

Ответ дал: TutorOnline
1

Ответ: х=101,4

Объяснение:

Приложения:
Вас заинтересует