• Предмет: Математика
  • Автор: karki
  • Вопрос задан 10 лет назад

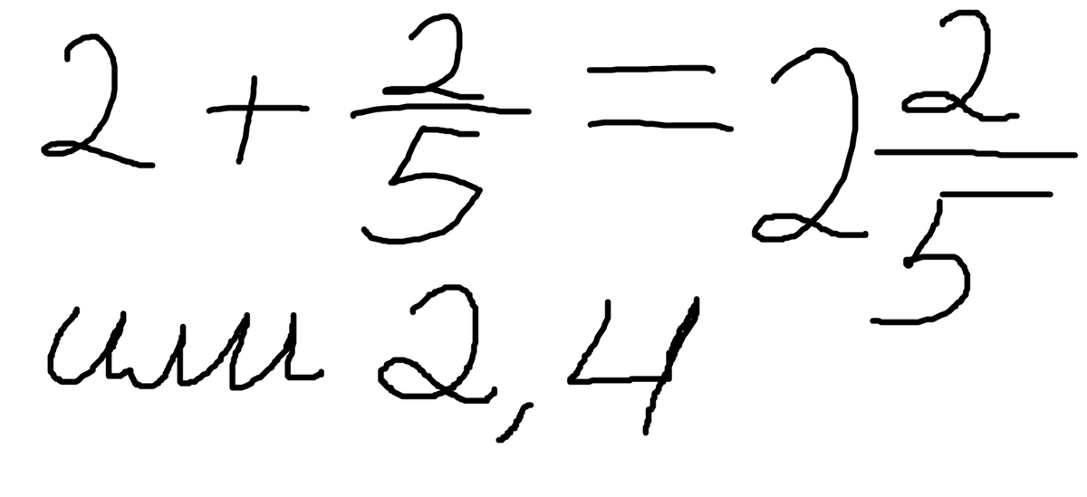
Сколько будет 2+2/5 срочно!!!!!!

Ответы

Ответ дал: Millss
0
2+2/5 = 2+0.4 = 2,4 ))
Ответ дал: juliasha555
0
Смотри на вложении))
Приложения:
Вас заинтересует