Ответы
Ответ дал:
0
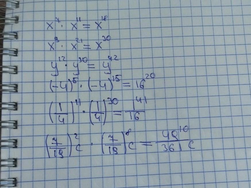
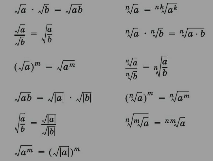
я формулы прикрепила, можешь сам(а) научиться, там не сложно.
Приложения:


Вас заинтересует
2 года назад
2 года назад
2 года назад
7 лет назад
7 лет назад
9 лет назад