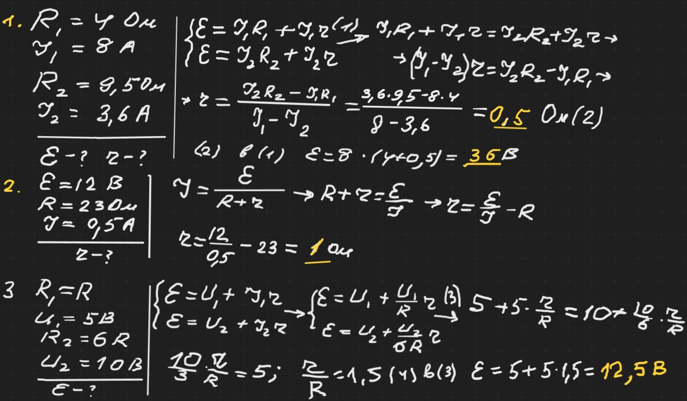
1) До джерела струму підключили електроплиту . При вмиканні однієї спіралі опором R1 = 4 Ом сила струму в колі дорівнює I1 =8 А. При вмиканні другої спіралі опором R2 = 9,5 Ом сила струму в колі I2 = 3,6 А. Знайдіть ЕРС джерела струму і його внутрішній опір r.
2) До джерела з ЕРС 12 В під’єднали лампу опором 23 Ом. Сила струму в колі стала 0,5 А. Визначити внутрішній опір джерела струму.
3) Акумуляторну батарею замикають на опір R, напруга при цьому на затискачах рівна 5 В. Визначте ЕРС акумулятора, якщо при збільшенні опору R в 6 разів, напруга збільшилась вдвічі.
Ответы
Ответ дал:
0
Відповідь: Див. додаток
Пояснення:
Приложения:

Вас заинтересует
2 года назад
2 года назад
7 лет назад
7 лет назад
9 лет назад