• Предмет: Физика
  • Автор: serggeevnaa
  • Вопрос задан 3 года назад

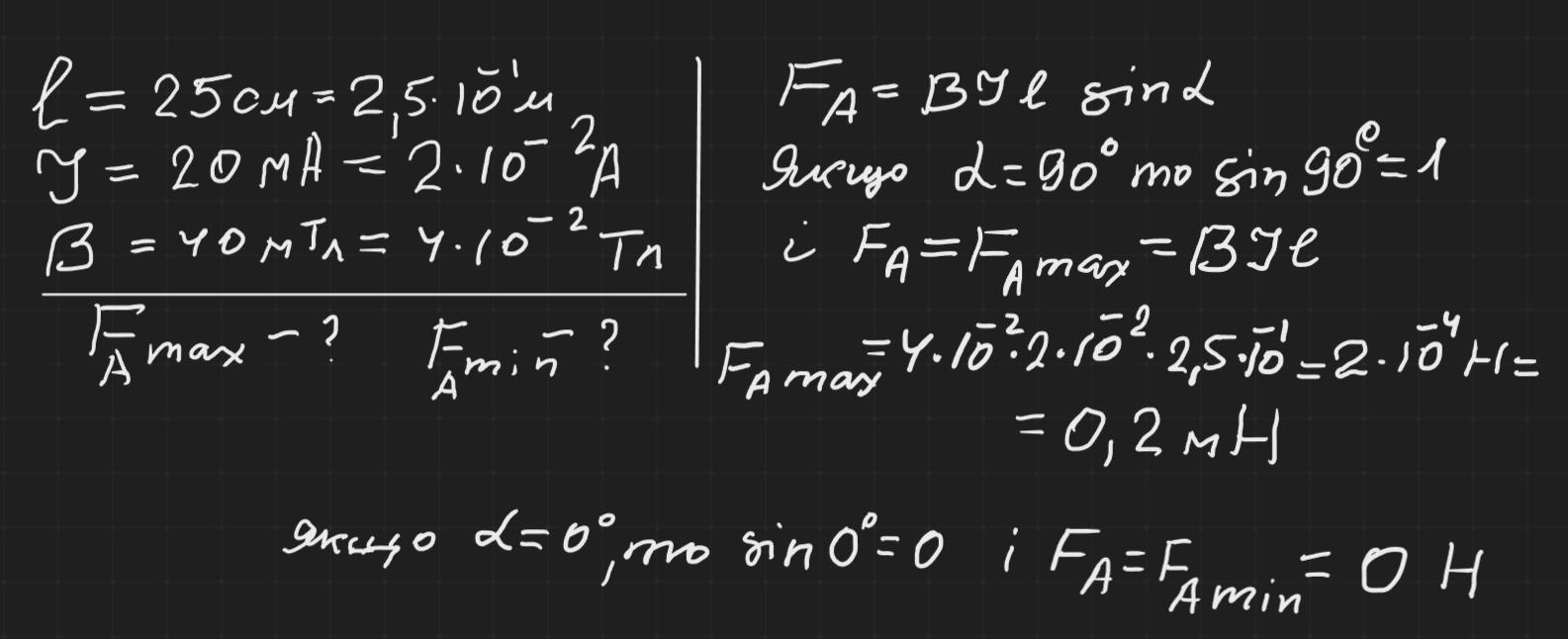
Визначіть максимальне і мінімальне значення сили Ампера, яка діє на провідник
Довжиною 25 см, якщо струм у ньому
дорівнює 20 мА. Магнітна індукція магнітного
поля 40 мТл

Ответы

Ответ дал: zybkov1950
1

Відповідь: 0,2 мН             0 Н

Пояснення:

Приложения:
Вас заинтересует