• Предмет: Физика
  • Автор: Mariga06
  • Вопрос задан 3 года назад

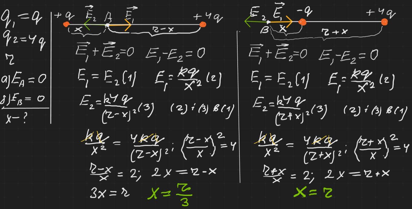
два заряди, один з яких за модулем у 4 рази більший за інший, розташовані на відстані r один від одного. У якій точці простору( на якій відстані від меншого заряду) напруженість електричного поля дорівнює 0, якщо заряди однойменні. А якщо різнойменні?​

Ответы

Ответ дал: zybkov1950
2

Відповідь: Див. додаток

Пояснення:

Приложения:
Вас заинтересует