• Предмет: Алгебра
  • Автор: mashachyuko200
  • Вопрос задан 3 года назад

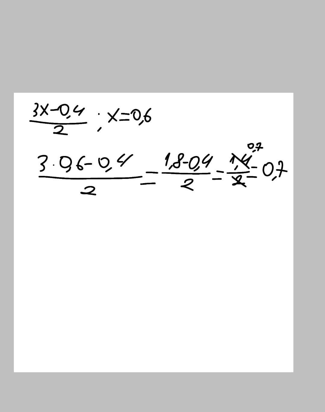
помогите пожалуйста прошу срочно ​

Приложения:

Ответы

Ответ дал: korolula275
1

Объяснение:

......................

Приложения:
Вас заинтересует