Ответы
Ответ дал:
2
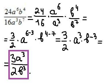
дивіться фото...............................
Приложения:

kimkarina953:
здравствуйте вы не могли бы мне помочь с алгеброй пожалуйста умоляюю
Вас заинтересует
2 года назад
2 года назад
7 лет назад
7 лет назад
9 лет назад
9 лет назад