Ответы
Ответ дал:
1
Ответ:
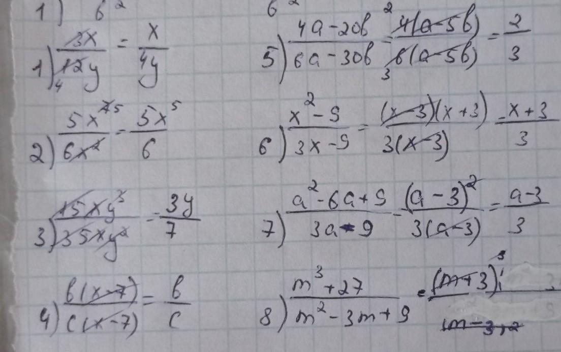
в восьмому відповідь m+3
Приложения:

Вас заинтересует
2 года назад
2 года назад
2 года назад
2 года назад
7 лет назад
7 лет назад
9 лет назад