• Предмет: Алгебра
  • Автор: aikasaa35
  • Вопрос задан 3 года назад

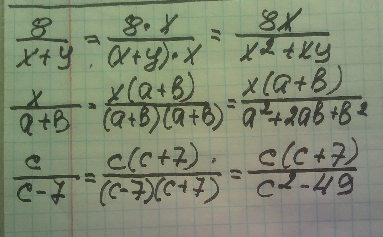
як звести дріб:
1)8/х+у до знаменника х^2+ху
2) х/а+б до знаменника а^2+2аб+б^2
3) с/с-7 до знаменника с^2-49

Ответы

Ответ дал: manyny06
1

Ответ:

решение смотри на фотографии на

Приложения:

aikasaa35: большое спасибо!!!!
Вас заинтересует