• Предмет: Физика
  • Автор: chabanenko654321
  • Вопрос задан 3 года назад

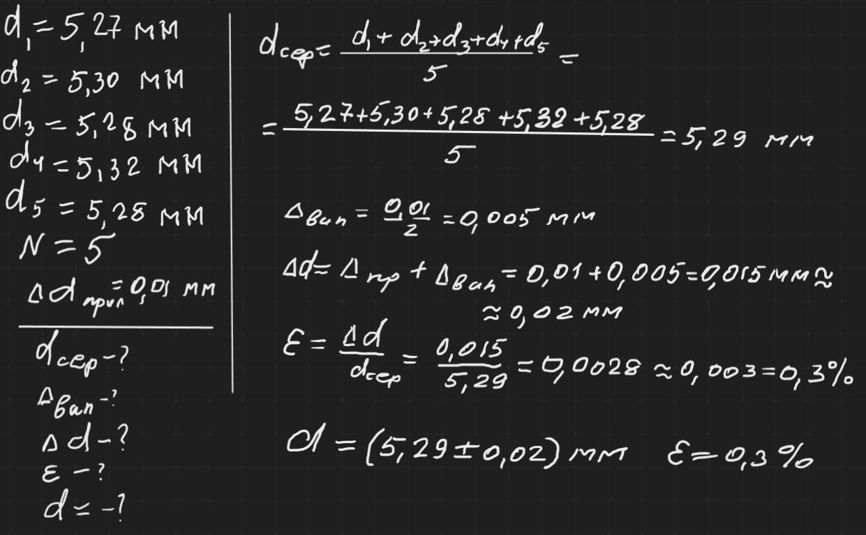
Вимірювання діаметра d металевої кульки проводили N = 5 разів за допомогою мікрометра, абсолютна похибка якого дорівнює Δdприл = 0.01 мм. Було одержано наступні результати: = 5.27 мм, = 5.30 мм, = 5.28 мм, = 5.32 мм, = 5.28 мм. 1) Обчислити: середнє значення діаметра кульки сер ; випадкову похибку вимірювання ∆вип , абсолютну та відносну похибки вимірювання . 2) Округліть одержані результати й запишіть результат вимірювання іст.

Ответы

Ответ дал: zybkov1950
3

Відповідь:  Див. додаток

Пояснення:

Приложения:

rdobrynin2: спасибо
zybkov1950: А чому не відзначено це "спасибо"? Я бачу "Дякую 0, зірочки 0,0"
rdobrynin2: потмучто ч руский
Вас заинтересует