• Предмет: Физика
  • Автор: dianasubbotenko
  • Вопрос задан 3 года назад

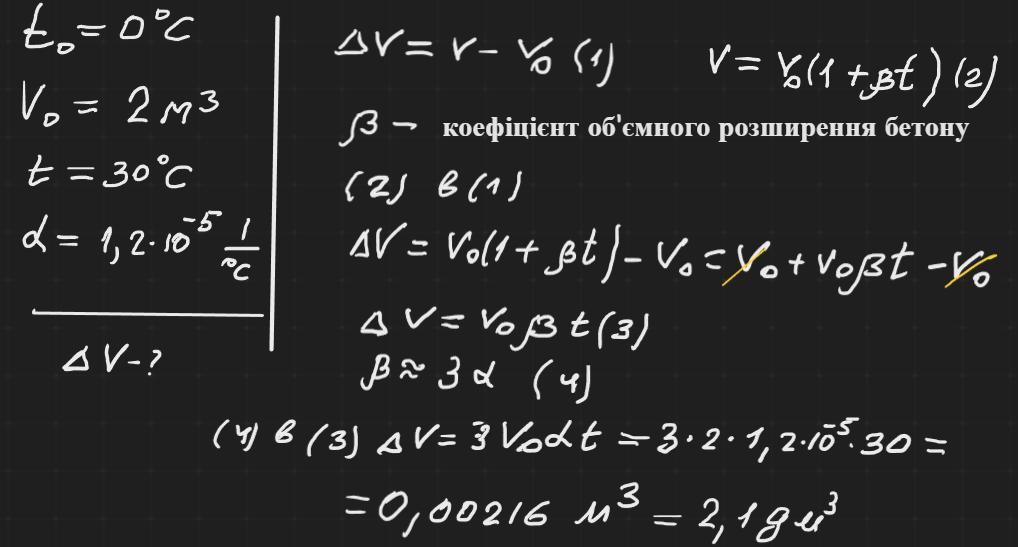
об'єм бетонної плити за температури 0°C становить 2 м³ На скільки збільшиться її об'єм при підвищенні температури до 30°C? Коефіцієнт лінійного розширення бетону a=1,2×10^-5 K^-1​

Ответы

Ответ дал: zybkov1950
4

Відповідь: 0, 00216 м°

Пояснення:

Приложения:
Вас заинтересует