• Предмет: Математика
  • Автор: gorsofa
  • Вопрос задан 3 года назад

З ВАРИАНТ
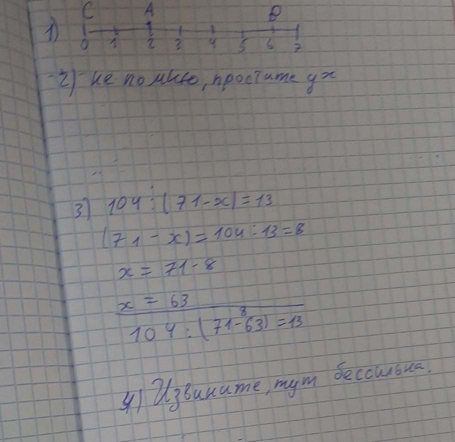
1. Начертите координатный луч, за единичный отрезок примите отрезок длиной 1 см.
Отметьте на координатном луче точки: А(2), В(б) и С(0).
2. Найдите значение выражения: 5с 4+2 при с=3.
3. Решите уравнение: 104: (71-х)=13
5
4. Прямоугольный садовый участок, площадью которого равна 5 соток, огорожен забором. Длина
участка 25 м. Какова длина забора?

Ответы

Ответ дал: angelinaplatonova05
1

Пошаговое объяснение:

Извини, делала на скорую руку, вы уравнение второе точно правильно написали?

Приложения:

gorsofa: Спасибо:)
Вас заинтересует