• Предмет: Физика
  • Автор: inefeg2006
  • Вопрос задан 3 года назад

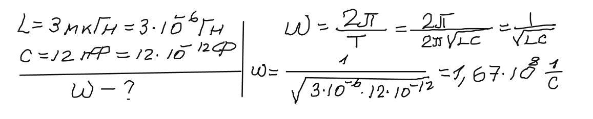
коливальний контур складається з котушки інндуктивністю 3мк Гн і конденсатора ємністю 12 пФ . викначити циклічну частоту​

Ответы

Ответ дал: zybkov1950
1

Відповідь: Див. додаток

Пояснення:

Приложения:
Вас заинтересует