• Предмет: Алгебра
  • Автор: artemdacenko009
  • Вопрос задан 3 года назад

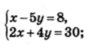
Розв'яжіть систему рівнянь​

Приложения:

Ответы

Ответ дал: persona22829
0

Ответ:

(13;1)

Объяснение:

с первого выражаем х = 8 + 5y

подставляем во второе 2(8 + 5y) + 4y = 30

14y = 14

y = 1

подставим в первый шаг

x = 13

Вас заинтересует