• Предмет: Алгебра
  • Автор: anelmukasheva95
  • Вопрос задан 3 года назад

решите систему уравнений способом подстановки, через дискриминант. пожалуйста очень срочно!!

ДАЮ 50 БАЛЛОВ.

Приложения:

Ответы

Ответ дал: manyny06
2

Ответ:

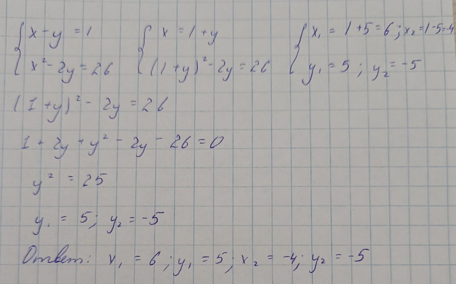
решение смотри на фотографии

Приложения:

anelmukasheva95: спасибо!
Ответ дал: moon2592
2

Ответ:

Решение на фото:

Ответ:

x1=6, y1=5

x2=-4, y2=-5

Приложения:

anelmukasheva95: спасибо!
Вас заинтересует