• Предмет: Химия
  • Автор: Smola106
  • Вопрос задан 10 лет назад

СРОЧНО
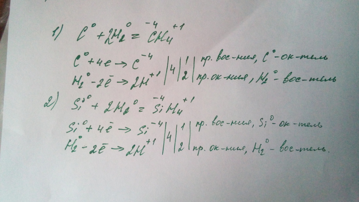
Составить уравнения реакций и электронный баланс :
1) C + H2 =
2) Si + H2 =
Написать, чем является : окислитель либо восстановитель 

Ответы

Ответ дал: AnastasiyaYurevna
0
вот, лови решение) рада помочь)
Приложения:
Вас заинтересует