БУДЬ ЛАСКА ТЕРМІНОВО!!!
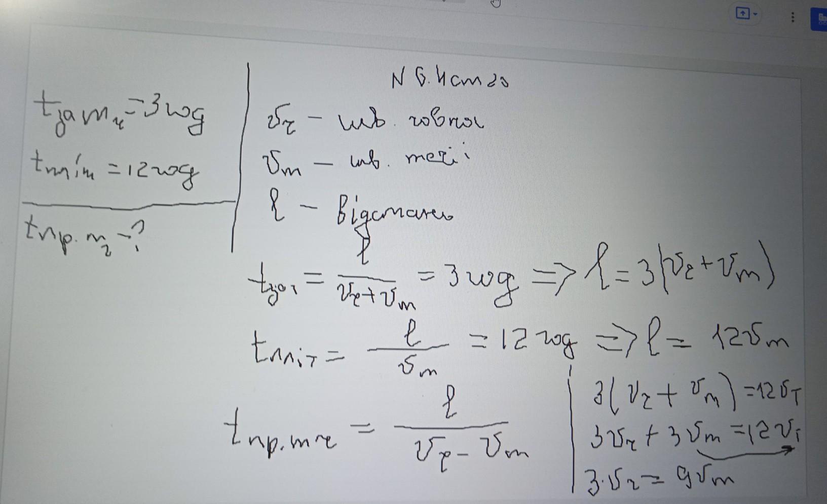
Моторний човен пройшов відстань за течією річки за 3 години, а пліт - за 12 годин. За який час моторний човен подолає зворотний шлях?
Будь ласочка розпишіть повністю, з дано і розв'язуванням!
Ответы
Ответ дал:
2
вчителька писала,якщо щось не зрозуміло, питайте,сподіваюсь допогла/ᐠ。ꞈ。ᐟ\
Приложения:


Вас заинтересует
2 года назад
2 года назад
2 года назад
2 года назад
7 лет назад
7 лет назад