Ответы
Ответ дал:
1
Ответ:
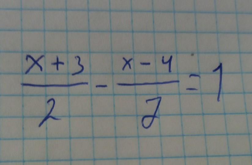
х= -3
Объяснение:
Объяснение на фотографии
Приложения:

Вас заинтересует
2 года назад
2 года назад
2 года назад
7 лет назад