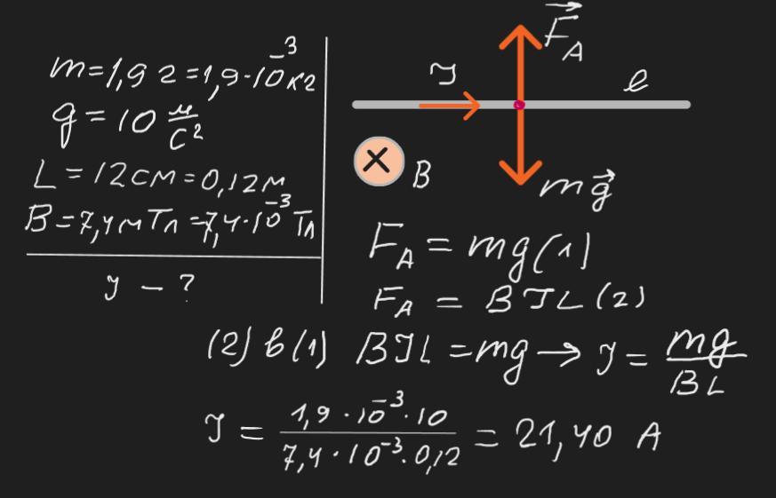
дам 69 баллов сверху. Сила струму в провіднику довжиною L і масою m дорівнює I. Якщо помістити провідник у магнітне поле напруженістю B, сила тяжіння буде зрівноважена силою Ампера. Знайдіть силу струму у провіднику, якщо L = 12 см, m = 1,9 г, а B = 7,4 мТл. Побудуйте рисунок до задачі, укажіть на ньому напрямок сили струму та напрямок вектора індукції магнітного поля, які не суперечать умовам задачі.
Ответы
Ответ дал:
2
Відповідь: ≈ 20,40 А
Пояснення:
Приложения:

Вас заинтересует
2 года назад
2 года назад
2 года назад
7 лет назад
7 лет назад
9 лет назад
9 лет назад