• Предмет: Алгебра
  • Автор: ggwogul
  • Вопрос задан 3 года назад

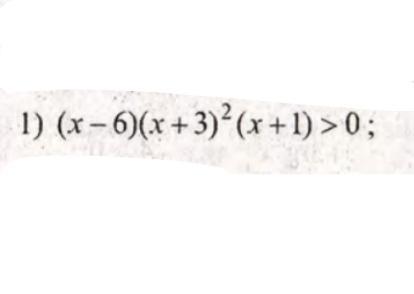
Найдите множество решений неравенства

Приложения:

Ответы

Ответ дал: manyny06
1

Ответ:

решение смотри на фотографии

Приложения:

ggwogul: Спасибо огромное, не могли бы вы мне ещё помочь? В профиле такое же задание, только пример другой
simenovavika: помоги пожалуйста с физикой
v3000: manyny06 можете помочь с заданием по алгебре не сложное 50балов и лучший ответ пожалуйста
Вас заинтересует