решите плизз задачи очень нужно c решением
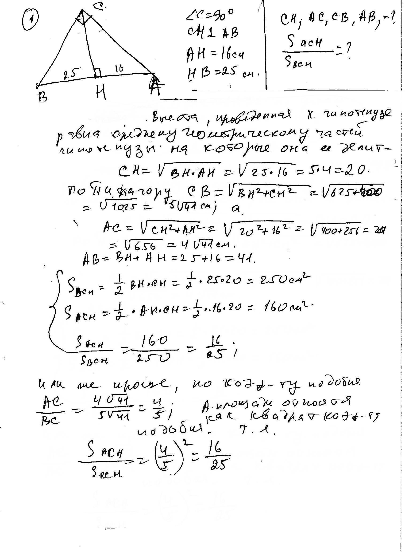
1)треугольник abc ( угол c= 90) ch-высота AH=16 см, HB=25 м .Найти: СH; CB ;AC ;AB; Sach:Sbch
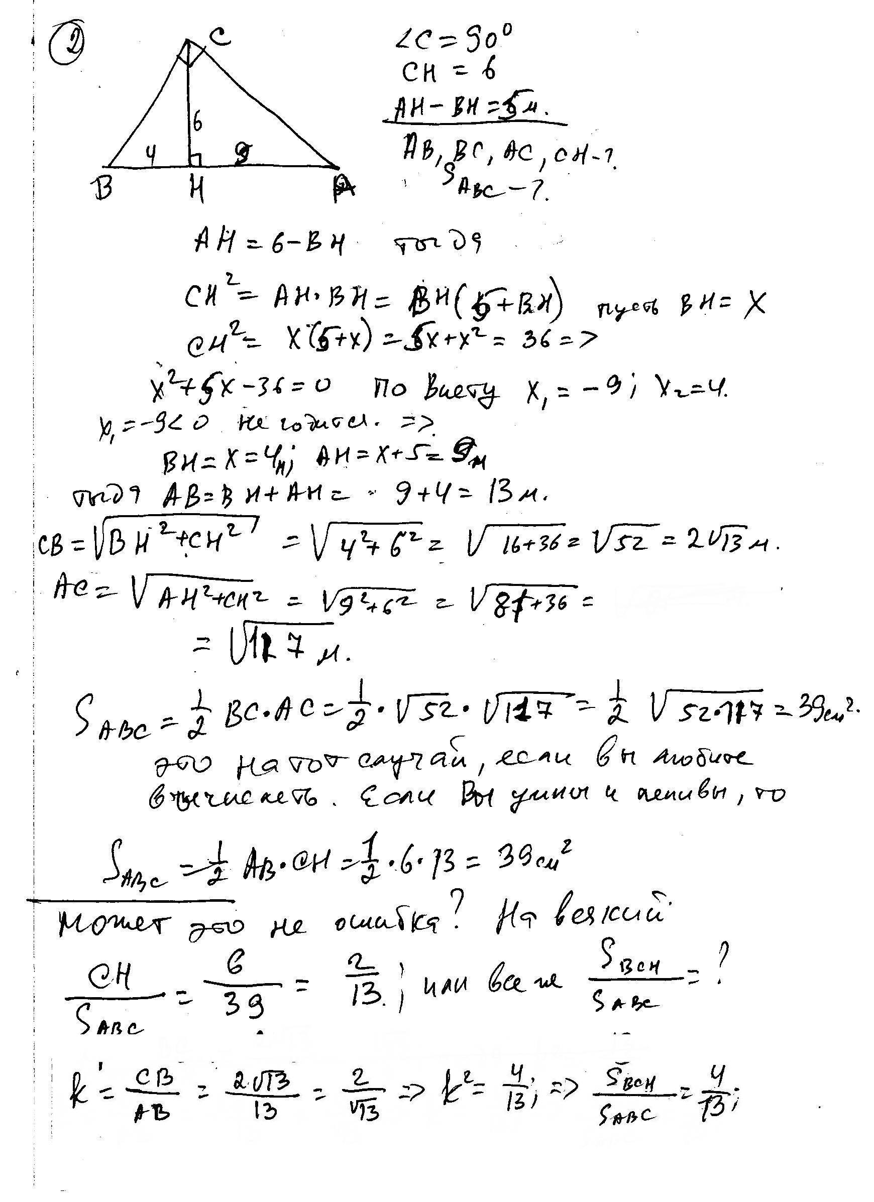
2)треугольник abc ( угол c= 90).Высота, проведенная из вершины прямого угла равна 6 м и делит гипотенузу на отрезки один из которых на 5 метров больше другово.Найдите а)стороны треугольника АВС
б)СH:Sabc
3)треугольник АВС-прямоугольный, СН-высота АС=2м, ВН=3м.Найти:СВ;СН;AH;CH:Sabc
Ответы
Ответ дал:
0
Условия задач немного путаные. В тексте решения я исправлял данные где это необходимо.
Приложения:



Вас заинтересует
2 года назад
8 лет назад
10 лет назад
10 лет назад
10 лет назад
10 лет назад