В двух пробирках находятся водные растворы этиленгликоля и формалина. Составьте план распознавания этих веществ, напишите уравнения реакций.
Ответы
Ответ дал:
0
этиленгликоль взаимодействует с гидроксидом меди 2, образуя комплексное соединение, раствор приобретает ярко-синий цвет, образуя этиленгликолят меди(II)
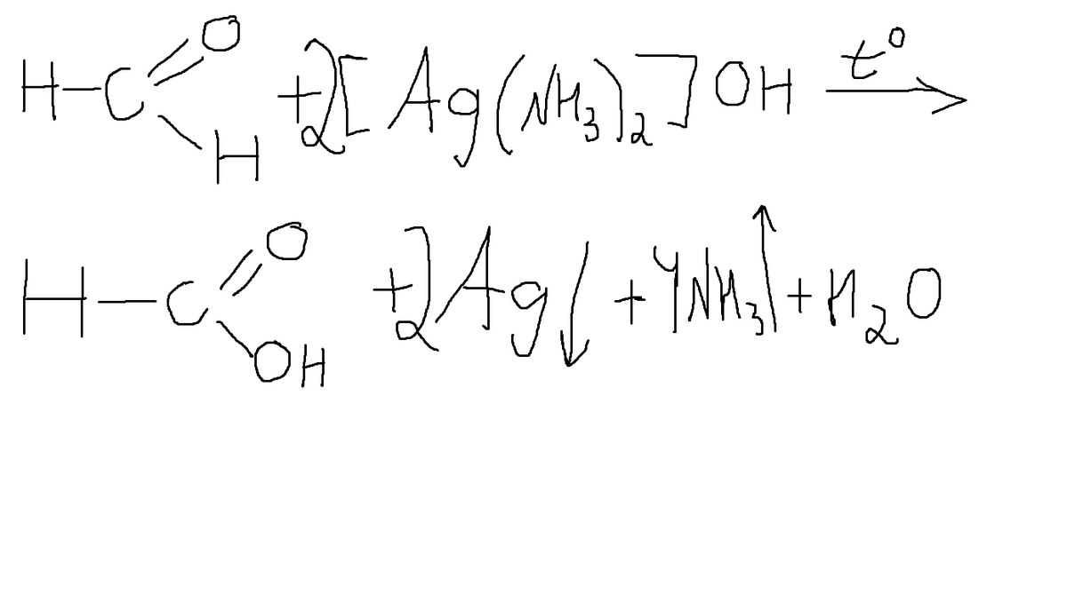
Формалин-это раствор формальдегида, формальдегид даёт реакцию серебряного зеркала, серебро обтекает нутро пробирки. При этом формальдегид окисляется до муравьиной кислоты.
Формалин-это раствор формальдегида, формальдегид даёт реакцию серебряного зеркала, серебро обтекает нутро пробирки. При этом формальдегид окисляется до муравьиной кислоты.
Приложения:


Ответ дал:
0
Спасибо _
Ответ дал:
0
:(
Ответ дал:
0
:) *
Ответ дал:
0
как же плохо, что нельзя комментарии удалять, это доставляет иногда неудобства и непонимание
Ответ дал:
0
Согласен с тобой.
Вас заинтересует
2 года назад
2 года назад
8 лет назад
8 лет назад
10 лет назад
10 лет назад
10 лет назад