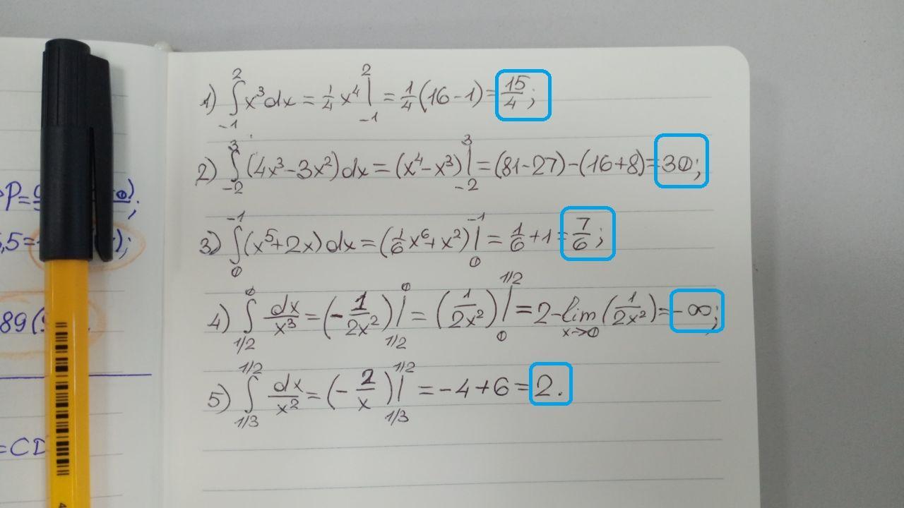
Интеграл вверху 2 внизу -1 х в 3 степени dx;интеграл вверху 3 внезу -2(4x в3 степени-3x в 2 степени)dx;интеграл вверху -1 внезу 0 (x в 5 степени+2 x)dx;интеграл вверху 0 внизу 1/2 dx/x в 3 степени;
интеграл вверху1/2 внизу 1/3 dx/x в 2 степени
Ответы
Ответ дал:
1
Пошаговое объяснение:
посмотрите предложенный вариант. Ответы отмечены цветом. Возможно, в №4 в условии ошибка.
Приложения:

Вас заинтересует
2 года назад
2 года назад
2 года назад
7 лет назад
7 лет назад