Ответы
Ответ дал:
1
Решение на фото. Удачи! Кстати, тебе эта тема очень понадобиться в будущем, без нее ты не сможешь практически ничего решать особенно в старших классах, так что переписав задание, садись, учи теорию и решай дополнительно, чтобы наработать опыт. Удачи! Надеюсь, помог.
Приложения:

Ответ дал:
0
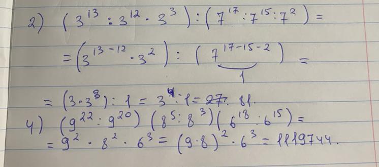
Ответ:
2) (3^13 : 3^12 × 3^3) : (7^17 : 7^15 : 7^2) = 3^4 : 1=3^4 ну или 81
4) (9^22 : 9^20) × (8^5 : 8^3) : (6^18 : 6^15) = 9^2 × 8^2 : 6^3=24
Вас заинтересует
2 года назад
2 года назад
2 года назад
7 лет назад
9 лет назад