• Предмет: Математика
  • Автор: miniffer88
  • Вопрос задан 3 года назад

Дам 40 балов
Розв’яжіть рівняня
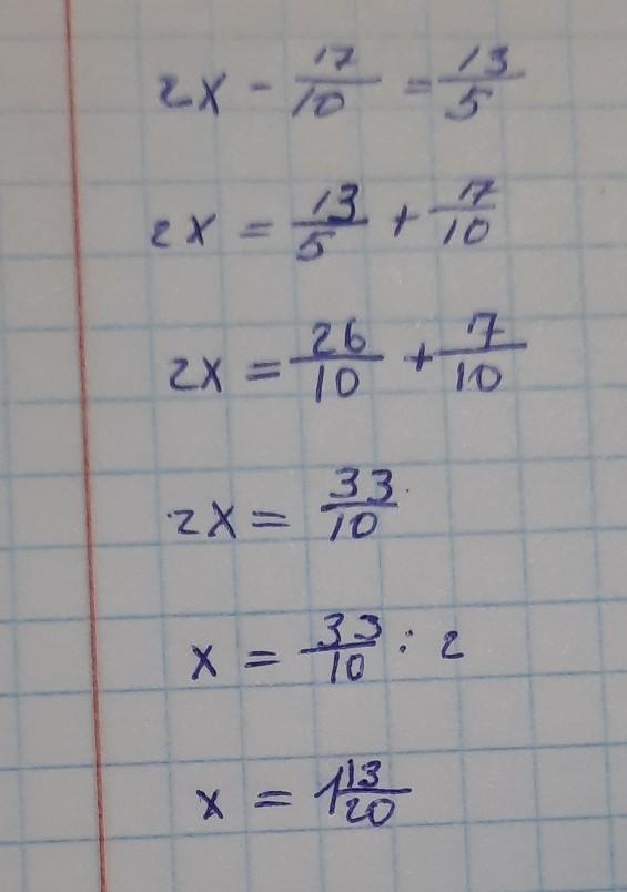
2х-7/10=13/5

Ответы

Ответ дал: iramazurk
0

Ответ:

16,5

Пошаговое объяснение:

(2х - 7)/10 = 13/5

5 * (2х - 7) = 13 * 10

10х - 35 = 130

10х = 130 + 35

10х = 165

х = 165 : 10

х = 16,5


kliminavarvara07: як ти дроби розірвала?
Ответ дал: kliminavarvara07
1

х=33/20 или 1 целая 13/20

Приложения:
Вас заинтересует