• Предмет: Алгебра
  • Автор: mihabk
  • Вопрос задан 3 года назад

Алгебра 10 класс вправа 150 допоможіть

Приложения:

Ответы

Ответ дал: yevheniiavz
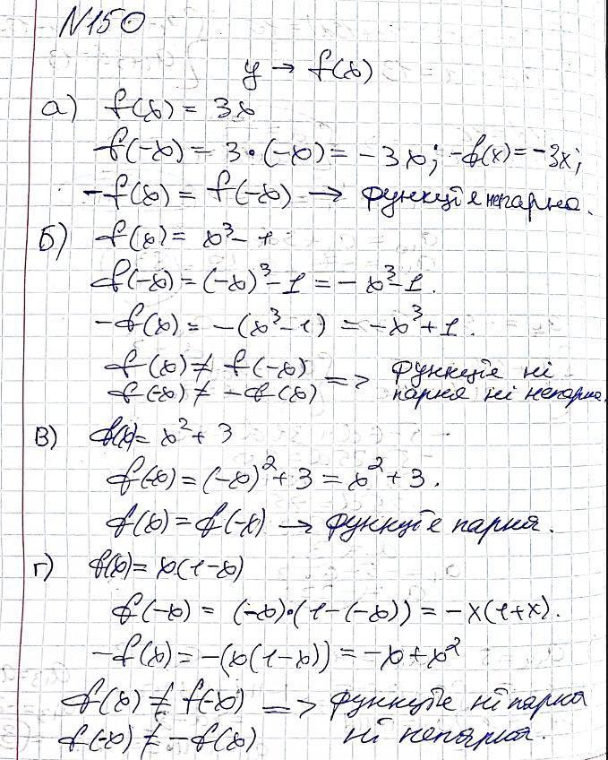
1

дивіться фото.......................

Приложения:
Вас заинтересует