• Предмет: Физика
  • Автор: volodimirdolud
  • Вопрос задан 3 года назад

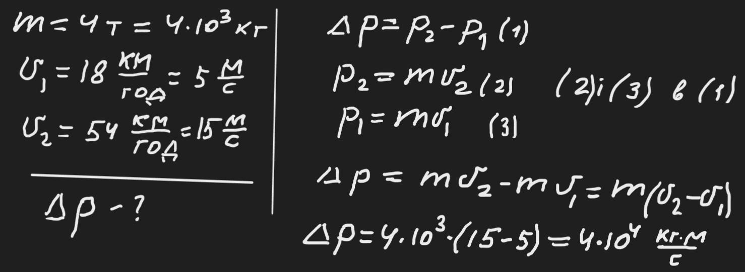
АВТОМОБiЛЬ масою 4 т рухаючись прямолінійно збільшив свою швидкість від 18 км / год до 54 км / год . Визначте зміну імпульсу​

Ответы

Ответ дал: 555ai555
0

Ответ:

Объяснение:

m = 4 т = 4000 кг

V1 =  18 км / год = 5м/с

V2 =  54 км / год = 15 м/с

Δр = ?

Δp = m*(V2-V1) = 4000*(15-5) = 40000 кг*м/с

Ответ дал: zybkov1950
0

Відповідь: 4·10⁴ ( кг*м)/с

Пояснення:

Приложения:
Вас заинтересует