• Предмет: Алгебра
  • Автор: citer3042
  • Вопрос задан 3 года назад

срочно помогите пожалуйста​

Приложения:

Ответы

Ответ дал: natalyabryukhova
2

Ответ:

Значение выражения 2х₁ + 2х₂ - 3х₁х₂ равно (-15).

Объяснение:

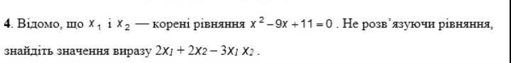
Известно, что х₁ и х₂ - корни уравнения х² - 9х + 11 = 0. Не решая уравнения, найдите значения выражения 2х₁ + 2х₂ - 3х₁х₂.

  • Вспомним теорему Виета:
  • Если х₁ и х₂ - корни уравнения х + px + q = 0, то
  • х₁ + х₂ = -р,  х₁х₂ = q.

Дано уравнение х² - 9х + 11 = 0.

⇒ х₁ + х₂ = -(-9) = 9;  х₁х₂ = 11

Значение выражения

2х₁ + 2х₂ - 3х₁х₂ = 2(х₁ + х₂) - 3х₁х₂ = 2 · 9 - 3 · 11 = 18 - 33 = -15

Значение выражения 2х₁ + 2х₂ - 3х₁х₂ равно (-15).


kimkarina953: Добрый день. Не могли бы мне помочь с геометрией пожалуйста умоляюю
Вас заинтересует