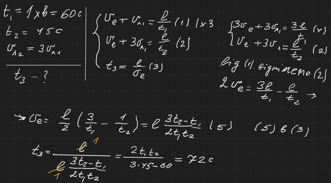
ескалатор метро спускає людину яка йде вниз по ньому за 1 хвилину якщо людина буде йти втричі швидше то вона опуститься за 45 секунд Скільки часу буде опускатися людина яка стоїть на ескалаторі СРОЧНООО
Ответы
Ответ дал:
1
Відповідь: 1 хв 12 с
Пояснення:
Приложения:
Вас заинтересует
2 года назад
2 года назад
2 года назад
8 лет назад
8 лет назад
9 лет назад
9 лет назад