• Предмет: Алгебра
  • Автор: alonapolah
  • Вопрос задан 3 года назад

Срочно!!!!!!!!! 30б.​

Приложения:

Ответы

Ответ дал: Universalka
2

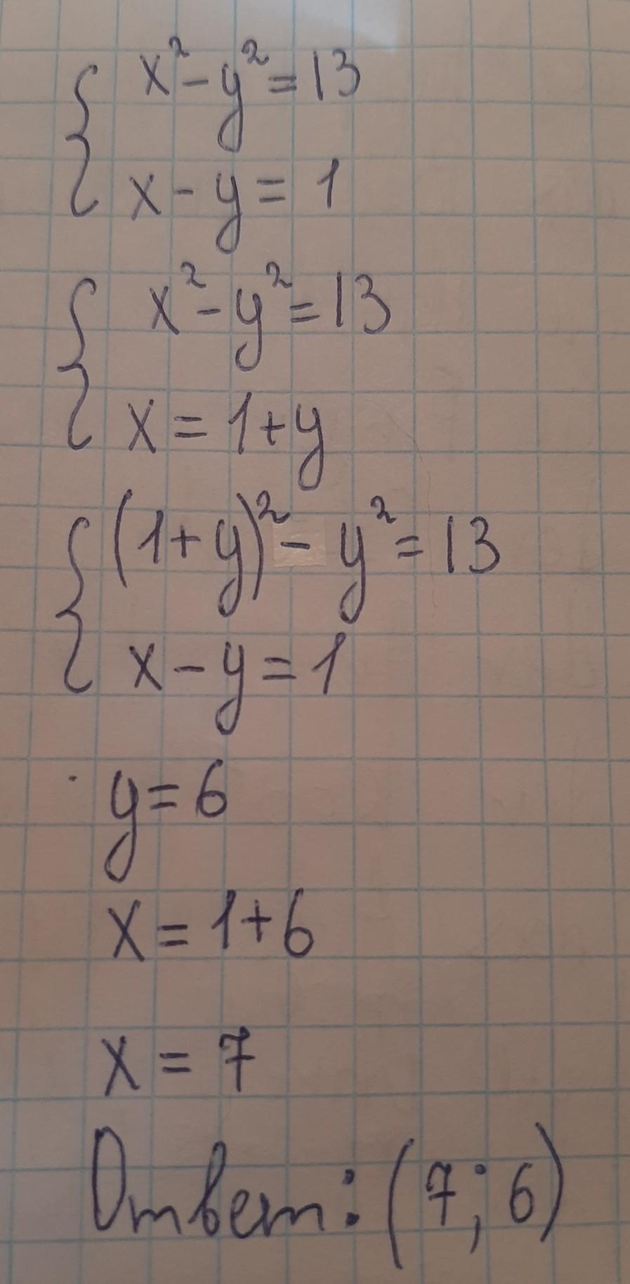
\displaystyle\bf\\\left \{ {{x^{2} -y^{2} =13} \atop {x-y=1}} \right.\\\\\\\left \{ {{(x-y)\cdot(x+y)=13} \atop {x-y=1}} \right. \\\\\\\left \{ {{1\cdot(x+y)=13} \atop {x-y=1}} \right. \\\\\\+\left \{ {{x+y=13} \atop {x-y=1}} \right. \\--------\\2x=14\\\\x=7\\\\y=13-x=13-7=6\\\\\\Otvet \ : \ \Big(7 \ ;\ 6\Big)


kimkarina953: Добрый день. Не могли бы мне помочь с геометрией пожалуйста умоляюю
Ответ дал: kolodaznaapolina687
1

Ответ:

Ответ: (7; 6) х=7; у=6...

Приложения:
Вас заинтересует