• Предмет: Алгебра
  • Автор: vasuksofia27
  • Вопрос задан 3 года назад

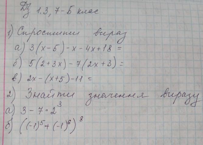
Добрий день , допоможіть будь ласка з першим питанням , якщо можете то з другим також. Дякую ​

Приложения:

Ответы

Ответ дал: Universalka
2

\displaystyle\bf\\3(x-5)-x-4x+18=3x-15-5x+18=3-2x\\\\\\5(2+3x)-7(2x+3)=10+15x-14x-21=x-11\\\\\\2x-(x+5)-11=2x-x-5-11=x-16\\\\\\2)\\\\3-7\cdot 2^{3} =3-7\cdot8=3-56=-53\\\\\\\Big[(-1)^{5} +(-1)^{6} \Big]^{8} =\Big(-1+1\Big)^{8} =0^{8} =0


kimkarina953: Добрый день. Не могли бы мне помочь с геометрией пожалуйста умоляюю
Вас заинтересует