• Предмет: Математика
  • Автор: tmoeddrl
  • Вопрос задан 3 года назад

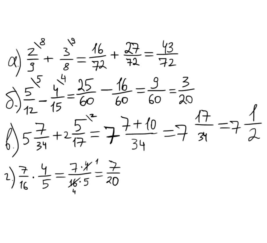
Обчисли значення виразу. а) 2/9+3/8 ; б)5/12-4/15 ; в) 5целых, 7/34+2целых, 5/17 ; г)7/16 × 4/5

Ответы

Ответ дал: dianassn
2
Как-то так)) надеюсь, правильно
Приложения:
Вас заинтересует