Ответы
                                            Ответ дал: 
                                                                                    
                                        
                                            
                                                
                                                
                                                
                                                    1
                                                
                                            
                                        
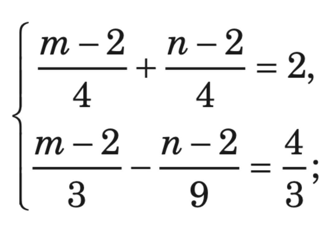
                                    Відповідь: (m,n) = (7,5)
Покрокове пояснення:
m=12-n
m-2/3 - n-2/9 = 4/3
12-n-2/3 - n-2/9 = 4/3
n=5
m=12-5
m=7
(m,n) = (7,5)
Вас заинтересует
                
                        2 года назад
                    
                
                        7 лет назад