• Предмет: Алгебра
  • Автор: msabi
  • Вопрос задан 3 года назад

ПРОШУ ПОМОГИТЕ СДАТЬ СЕГОДНЯ УЖЕ ПРОШУ ПОМОГИТЕ СДАТЬ СЕГОДНЯ УЖЕ

Приложения:

Ответы

Ответ дал: Loxdyy
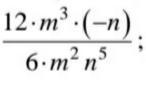
1

\frac{2m*(-1)}{n^{4} } \\\\-\frac{2m}{n^{4} }


msabi: Мы так не пишем
msabi: Это 8 класс?
Loxdyy: а как?
msabi: Это сложновато, у на решение по похожим уравнениям, другие
msabi: Нас*
Loxdyy: Жаль
msabi: Ладно всё Равно спасибо
Вас заинтересует
2 года назад