• Предмет: Алгебра
  • Автор: msabi
  • Вопрос задан 3 года назад

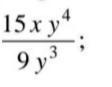
ПРОШУ ПОМОГИТЕ СДАТЬ СЕГОДНЯ УЖЕ ПРОШУ ПОМОГИТЕ СДАТЬ СЕГОДНЯ УЖЕ

Приложения:

Ответы

Ответ дал: nastyavansgerman
1

Объяснение:

відповідь на фото)))))

Приложения:

msabi: Дякую
Вас заинтересует