• Предмет: Алгебра
  • Автор: msabi
  • Вопрос задан 3 года назад

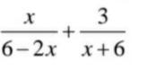
ПРОШУ ПОМОГИТЕ СДАТЬ СЕГОДНЯ УЖЕ ПРОШУ ПОМОГИТЕ СДАТЬ СЕГОДНЯ УЖЕ

Приложения:

Ответы

Ответ дал: lohtima09
0

Ответ:

фотомач в помощь, приложение можно скачать в плей маркет


msabi: Ты нормальный?
lohtima09: почему?
msabi: Я знаю что есть такое приложение, только вот мне ставят 2 баллы когда я от туда списываю
Вас заинтересует