• Предмет: Алгебра
  • Автор: loodcoordinator
  • Вопрос задан 3 года назад

СРОЧНО!!!
Задание 1 (30 баллов).

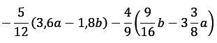
Раскройте скобки и упростите выражение:

Приложения:

Ответы

Ответ дал: xbdbhhxh3
2

Объяснение:

шппшашашлаашалшадпшпдадплп

Приложения:

loodcoordinator: спс
iamkolya02: Это верно, ребят?
Вас заинтересует