• Предмет: Физика
  • Автор: jokergoesboom23
  • Вопрос задан 3 года назад

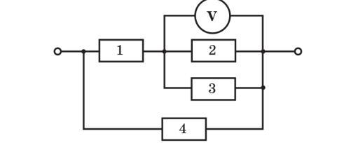
Всі резистори, з яких складається ділянка електричного
кола, мають однаковий опір 1 Ом. Амперметр показує 2 А,
вольтметр – 12 В. Знайдіть напругу й силу струму в
кожному з резисторів, а також загальну силу струму й

напругу, підведену до всієї ділянки.

Приложения:

Ответы

Ответ дал: ragnwine
4

Відповідь:

I1=24A, I2=12A, I3=12A, I4=36A

U1=24B, U2=12B, U3=12B, U4=36B

I(загал.)=60А

U(загал.)=36В

Пояснення:

Дано: R1=R2=R3=R4=1 Ом

U2=12B

Знайти: I(1-4), U(1-4), I(загал.), U(загал.)

Розв'язання

I2=U2/R2=12A

U2=U3=12B

I2=I3=12A

I1=I2+I3=24A

U1=I1*R1=24B

U4=U1,2,3=U1+U2,3=36B

U(загал.)=U4=36B

I4=U4/R4=36A

I(загал.)=I1+I4=60A

Вас заинтересует