• Предмет: Алгебра
  • Автор: Аноним
  • Вопрос задан 3 года назад

пожалуйста помогите! ДАЮ МНОГО БАЛОВ! ЖЕЛАТЕЛЬНО КАК МОЖНО БЫСТРЕЕ!!​

Приложения:

Ответы

Ответ дал: manyny06
1

Ответ:

вариант ответа В).

решение смотри на фотографии

Приложения:
Ответ дал: NNNLLL54
0

Ответ:

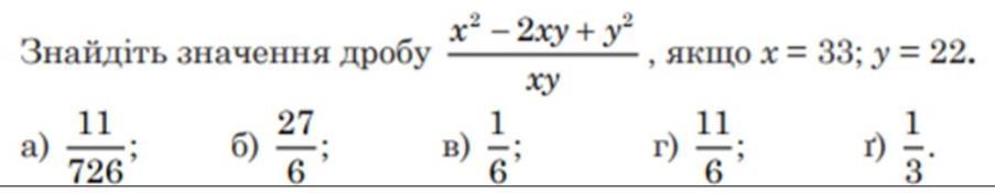
Сначала упростим выражение, применив формулу квадрата разности. Затем подставим значения переменных и вычислим значение выражения .

x=33\ ,\ y=22

\displaystyle \frac{x^2-2xy+y^2}{xy}=\frac{(x-y)^2}{xy}=\frac{(33-22)^2}{33\cdot 22}=\frac{11^2}{3\cdot 11\cdot 2\cdot 11}=\frac{11^2}{3\cdot 2\cdot 11^2}=\frac{1}{6}

Вас заинтересует