• Предмет: Алгебра
  • Автор: tivisbik
  • Вопрос задан 3 года назад

помогите пожалуйста срочно дам 50б​

Приложения:

Ответы

Ответ дал: artemikunkov
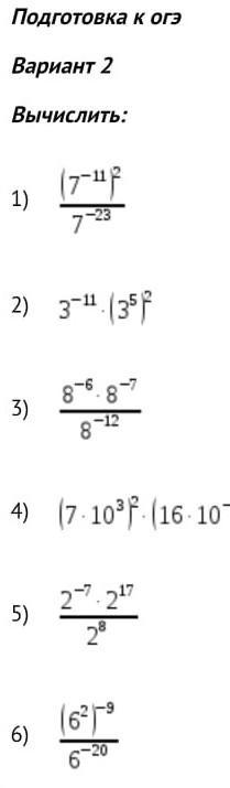
1

1)7

2)\frac{1}{3}(0.3)

3)\frac{1}{8}(0.125)

4)полностью не видно пример

5)4

6)36


tivisbik: можешь написать решение само
Ответ дал: ildar502020
1

Ответ:

Объяснение:

1)  (7⁻¹¹)²/7⁻²³=7²³/7²²=7¹=7;

2)  3⁻¹¹(3⁵)²=3¹⁰/3¹¹=1/3;

3)  8⁻⁶*8⁺⁷/8⁻¹²=8¹²/8¹³=1/8;

4)  (7*10³)²*(16*10???)-???

5)  2⁻⁷*2¹⁷/2⁸=2¹⁷/2⁷*2⁸=2¹⁷/2¹⁵=2²=4;

6)  (6²)⁻⁹/6⁻²⁰=6²⁰/(6²)⁹=6²⁰/6¹⁸=6²=36.


tivisbik: в -4 степени там
Вас заинтересует