• Предмет: Математика
  • Автор: Аноним
  • Вопрос задан 3 года назад

Розв'явязати рівняння ПОМОГИТЕ ПОЖАЛУЙСТА ОЧЕНЬ СРОЧНО ДАМ 100 БАЛОВ​

Приложения:

andyouisand: что нужно делать?

Ответы

Ответ дал: MuhammadGulu
1

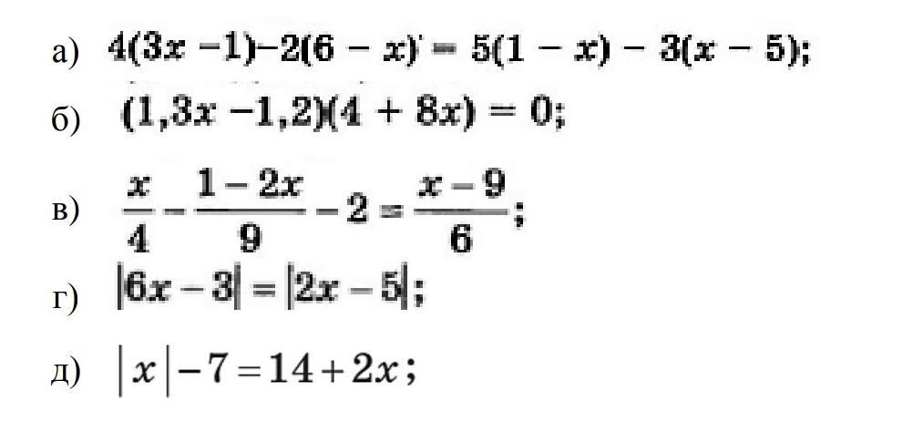
a)

4(3x - 1) - 2(6 - x) = 5(1 - x) - 3(x - 5) \\ 12x - 4 - 12 + 2x = 5 - 5x - 3x + 15 \\ 14x - 16 =  - 8x + 20 \\ 14x + 8x = 20 + 16 \\ 22x = 36 \\ x = 1 \frac{7}{11}

б)

(1.3x - 1.2)(4 + 8x) = 0 \\  \\ 1.3x - 1.2 = 0 \\ 1.3x = 1.2 \\ x =  \frac{12}{13}  \\  \\ 4 + 8x = 0 \\ 8x =  - 4 \\ x =  - 0.5

в)

 \frac{x}{4}  -  \frac{1 - 2x}{9}  - 2 =  \frac{x - 9}{6}  \\  \frac{9x - 4 + 8x - 72}{36}  =  \frac{x - 9}{6}  \\ 54x - 24 + 48x - 432 = 36x - 324 \\ 102x - 456 = 36x - 324 \\ 102x - 36x =  - 324 + 456 \\ 66x = 132 \\ x = 2

г)

 |6x - 3|  =  |2x - 5|  \\  \\ 6x - 3 = 2x - 5 \\ 6x - 2x =  - 5 + 3 \\ 4x =  - 2 \\ x =  - 0.5

д)

Вас заинтересует